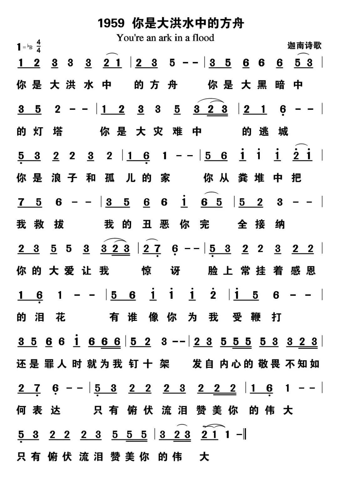
+- 首页 赞美诗歌 正文 音频播放地址: 视频播放地址: Youtube播放地址: 词曲:小敏 你是大洪水中的方舟 你是大黑暗中的灯塔 你是大灾难中的逃城 你是浪子和孤儿的家 你从粪堆中把我救拔 我的丑恶你完全接纳 你的大爱让我惊讶 脸上常挂着感恩的泪花 有谁像你为我受鞭打 还是罪人时就为我钉十架 发自内心的敬畏不知如何表达 只有俯伏流泪赞美你的伟大 歌谱: 赞美诗歌未整理以斯拉盛晓玫祝瑞莲生命河灵粮堂小羊诗歌Jesus Image天韵合唱团新酒使命团我心旋律JLSS BlessedThe Hope佳音 赞美之门 收藏 分享 链接