+-
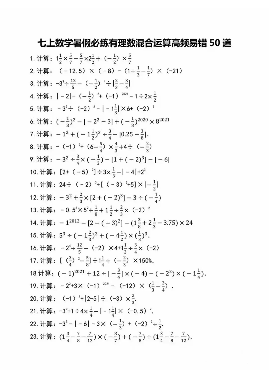
人教版七年级上册数学:暑假必练《有理数混合运算》计算题专项练习(含答案)

人教版七年级上册数学:暑假必练《有理数混合运算》计算题专项练习(含答案) (文末有答案及电子档下载方式) (因篇幅有限,完整版请点击文末) 声明:素材和内容源自网络,如有侵权,请联系管理员删除。 答案及电子档下载方式:领取方式)

人教版七年级上册数学:暑假必练《有理数混合运算》计算题专项练习(含答案) 人教版七年级上册数学:暑假必练《有理数混合运算》计算题专项练习(含答案)